Image Details

Choose export citation format:

Anchoring Stellar Age Indicators: A Cross Calibration of [C/N] and Gyrochronology Ages via the Age–Velocity Dispersion Relation

  • Authors: Yuxi(Lucy) Lu, Marc H. Pinsonneault, Yuan-Sen Ting, Phil R. Van-Lane, John D. Roberts, Jamie Tayar, Alexander Stone-Martinez, Amanda L. Ash

Yuxi(Lucy) Lu et al 2026 The Astronomical Journal 171 .

  • Provider: AAS Journals

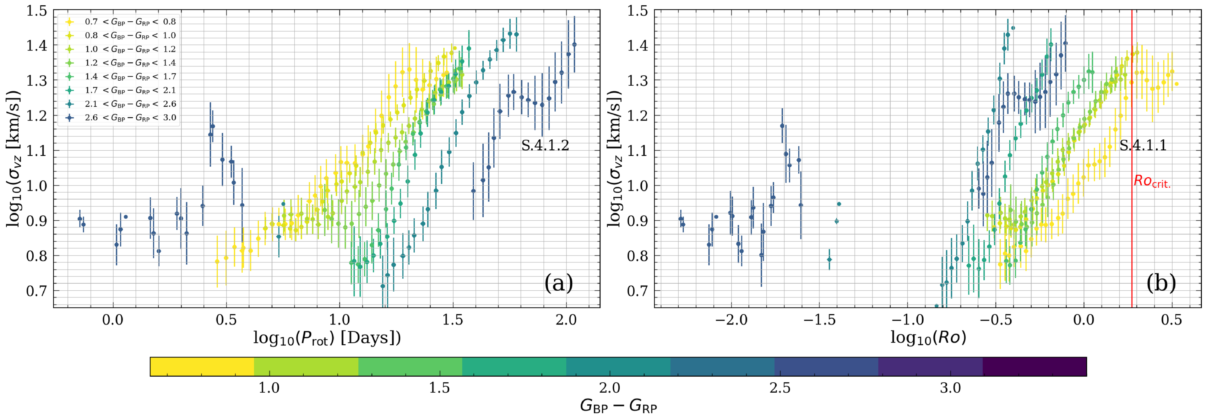
Caption: Figure 5.

(a): Protσvz relations for individual GBP − GRP bins using the method described in Section 3.2. (b): Ro–σvz relations, where Ro ≔ Protτc. Ro is converted from Prot in (a) using the convective turnover time, τc, calculated with a relation described in V. See et al. (2024). The red solid line shows the critical Rossby number where weakened magnetic braking is in effect (Rocrit = 1.866; J. L. van Saders et al. 2016; N. Saunders et al. 2024). The sections corresponding to the the features are shown on the figures.

Other Images in This Article

Show More

Copyright and Terms & Conditions

Additional terms of reuse