Image Details

Choose export citation format:

Modeling Atmospheric Phase Corruptions in High-frequency Very-long-baseline Interferometry Using Gaussian Processes

  • Authors: Uri Rolls, Dominic W. Pesce, Paul Tiede, Lindy Blackburn, Iniyan Natarajan, Sheperd S. Doeleman

Uri Rolls et al 2026 The Astronomical Journal 171 .

  • Provider: AAS Journals

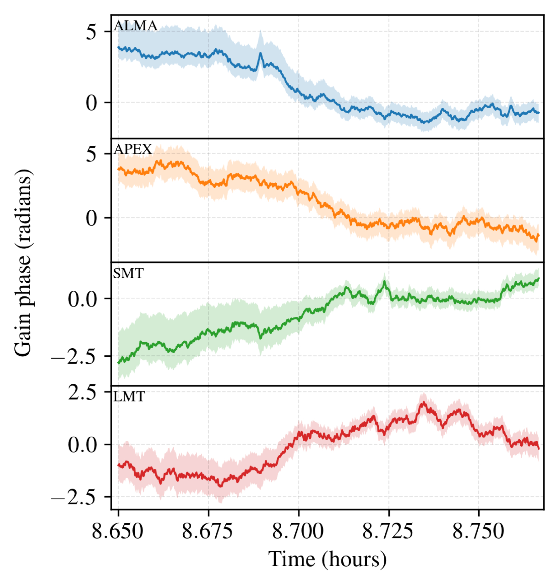
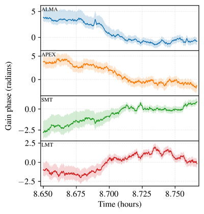
Caption: Figure 5.

Recovered station gain phases vs. time for each of the stations participating in the scan whose visibility phases are shown in Figure 4. The solid curve in each panel shows the median posterior value, and the shaded region indicates the 90% confidence interval.

Other Images in This Article
Copyright and Terms & Conditions

Additional terms of reuse