Image Details

Choose export citation format:

The Influence of Tight Binaries on Protoplanetary Disk Masses

  • Authors: Kevin Flaherty, Peter Knowlton, Tasan Smith-Gandy, A. Meredith Hughes, Marina Kounkel, Eric Jensen, James Muzerolle, Kevin Covey

Kevin Flaherty et al 2025 The Astronomical Journal 170 .

  • Provider: AAS Journals

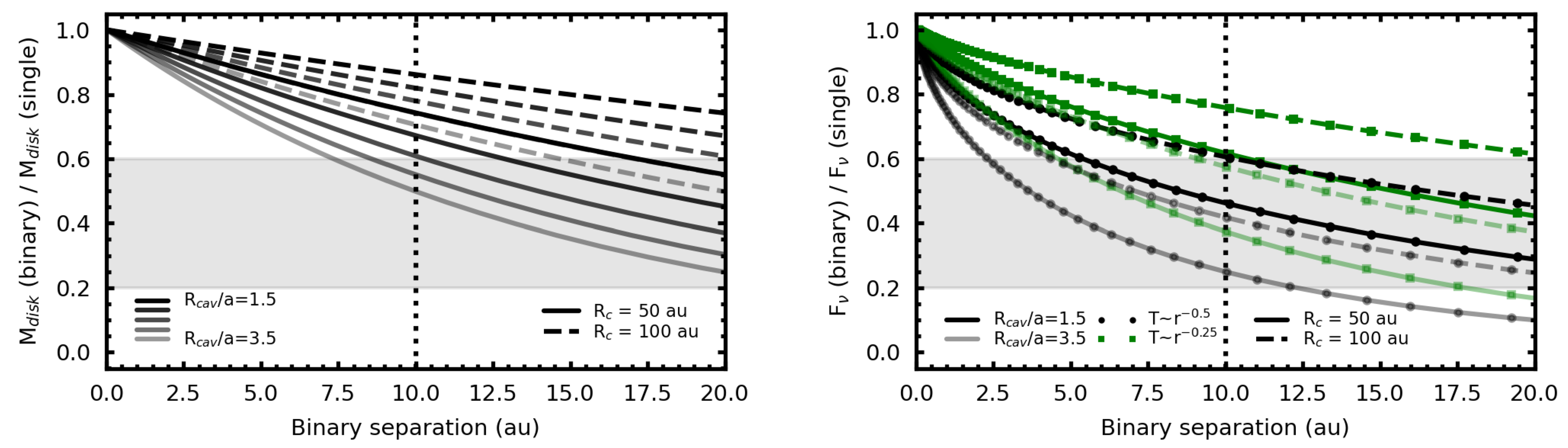
Caption: Figure 7.

A central binary will remove some material, reducing the total disk mass (left panel) depending on the size of the disk (solid vs. dashed lines) and the size of the cavity (grayscale of the lines). The solid gray band represents our observed dust mass depletion. While the binary separations in our sample are not known, the spectroscopic resolution in the surveys used to define our sample limits the sample to separations <10 au, indicated by the vertical dotted line. By carving out the inner disk, the binary also changes the average temperature of the disk, which, in combination with the removed disk mass, reduces the observed dust disk flux (right panel). A central clearing associated with the binary can explain the observed disk only for relatively large binary separations in compact disks with large cavities and steep temperature profiles.

Other Images in This Article
Copyright and Terms & Conditions

Additional terms of reuse