Image Details

Choose export citation format:

Direct Spectroscopy of 51 Eridani b with JWST NIRSpec

  • Authors: Alexander Madurowicz, Jean-Baptiste Ruffio, Bruce Macintosh, Marshall Perrin, Quinn M. Konopacky, Aneesh Baburaj, Kielan Hoch

Alexander Madurowicz et al 2025 The Astronomical Journal 170 .

  • Provider: AAS Journals

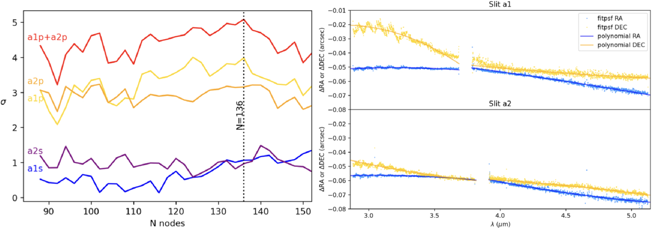
Caption: Figure 1.

Diagnostic plots generated during data reduction. (Left) Detection significance as a function of the node spacing hyperparameter for each individual data sequence showcasing the robustness of the detection, as well as the optimal node spacing. (Right) Best-fit coordinates in slit A1 (top) and slit A2 (bottom) and corresponding regularized polynomial fit as a function of wavelength computed during the centroiding/coordinate correction step.

Other Images in This Article
Copyright and Terms & Conditions

Additional terms of reuse