Image Details

Choose export citation format:

An Efficient Shift-and-stack Algorithm Applied to Detection Catalogs

  • Authors: Steven Stetzler, Mario Jurić, Pedro H. Bernardinelli, Dino Bektešević, Colin Orion Chandler, Andrew J. Connolly, Fred C. Adams, Cesar Fuentes, David W. Gerdes, Matthew J. Holman, Hsing Wen Lin, 省文 林, Larissa Markwardt, Andrew McNeill, Michael Mommert, Kevin J. Napier, William J. Oldroyd, Matthew J. Payne, Andrew S. Rivkin, Luis E. Salazar-Manzano, Hilke Schlichting, Scott S. Sheppard, Dallin Spencer, Ryder Strauss, David E. Trilling, Chadwick A. Trujillo

Steven Stetzler et al 2025 The Astronomical Journal 170 .

  • Provider: AAS Journals

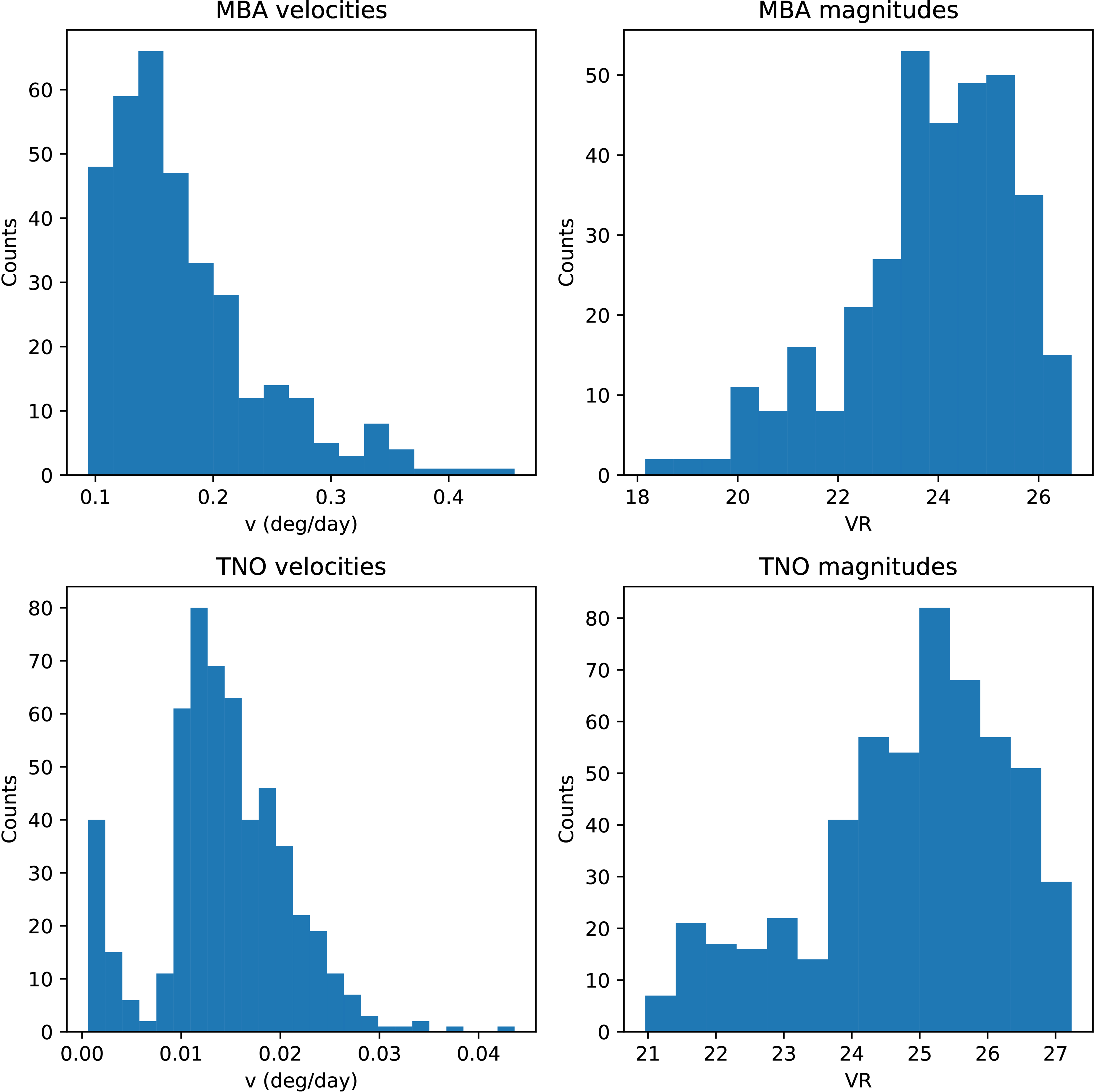
Caption: Figure 3.

The distributions of the velocities and magnitudes of the injected synthetic MBAs and TNOs.

Other Images in This Article

Show More

Copyright and Terms & Conditions

Additional terms of reuse