Image Details

Choose export citation format:

Precise Physical Parameters, Habitability, and Orbital Stability of Sun-like SB2 Systems: HD 130669, HD 184467, HD 191854, and HD 214222

  • Authors: Ahmad Abushattal, Nikolaos Georgakarakos, Mashhoor A. Al-Wardat, Bilal Algnamat, Hassan B. Haboubi, Deshinta Arrova Dewi, Enas M. Abu-Alrob, Abdallah M. Hussein

Ahmad Abushattal et al 2025 The Astronomical Journal 170 .

  • Provider: AAS Journals

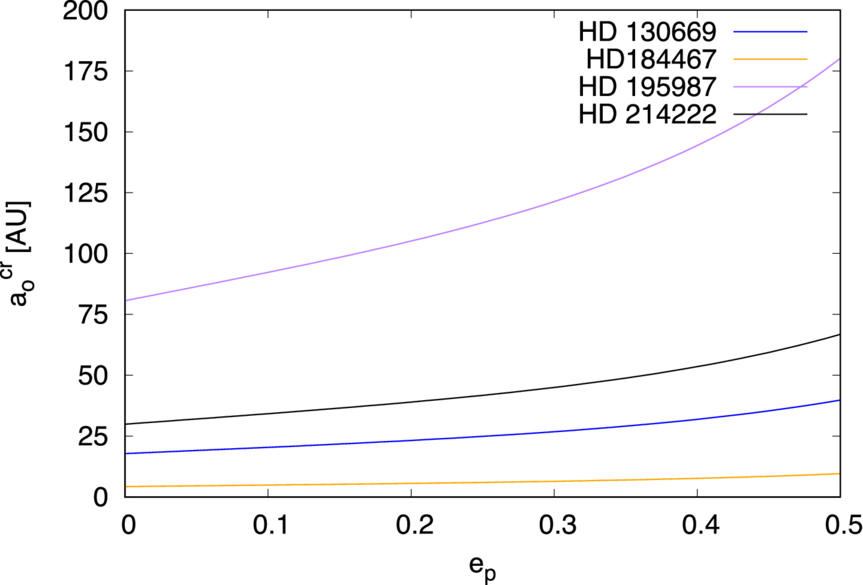
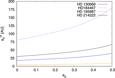
Caption: Figure 6.

Circumbinary stability curves for the four binary systems HD 130669, HD 184467, HD 191854, and HD 214222. The curves show the critical semimajor axis acr of a stable circumbinary planet as a function of planet eccentricity ep, calculated based on the orbital and stellar parameters of each system.

Other Images in This Article
Copyright and Terms & Conditions

Additional terms of reuse