Image Details

Choose export citation format:

Precise Physical Parameters, Habitability, and Orbital Stability of Sun-like SB2 Systems: HD 130669, HD 184467, HD 191854, and HD 214222

  • Authors: Ahmad Abushattal, Nikolaos Georgakarakos, Mashhoor A. Al-Wardat, Bilal Algnamat, Hassan B. Haboubi, Deshinta Arrova Dewi, Enas M. Abu-Alrob, Abdallah M. Hussein

Ahmad Abushattal et al 2025 The Astronomical Journal 170 .

  • Provider: AAS Journals

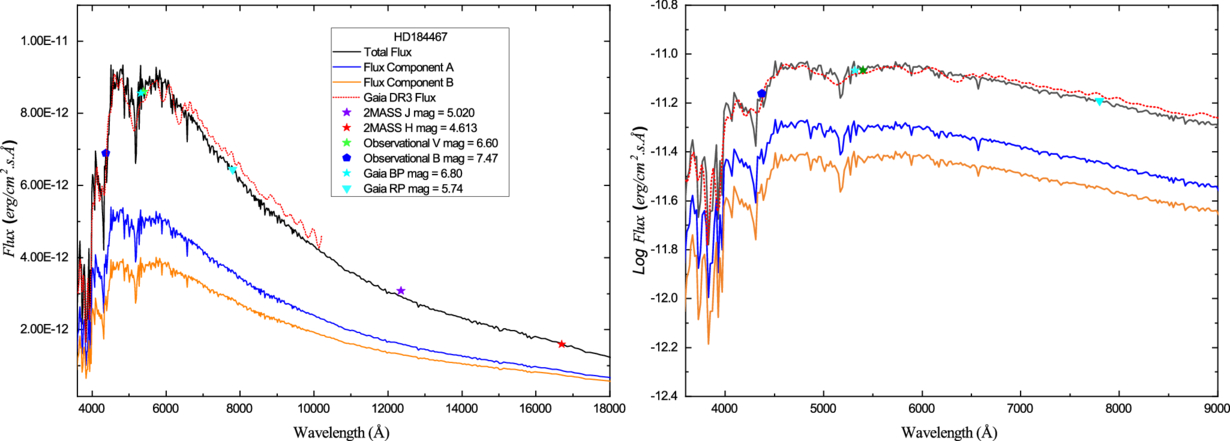
Caption: Figure 2.

Synthetic SED of the binary system HD 184467 constructed using Al-Wardat’s complex method and Kurucz’s ATLAS9 model atmospheres. The total flux (black), flux of component A (blue), and flux of component B (orange) are shown. Overplotted are observed photometric fluxes from 2MASS (J, H), Gaia (BP, RP), and Johnson photometry (B, V), with their respective magnitudes. This comparison validates the consistency between the synthetic model and observed data across a wide wavelength range (3500–18000 Å).

Other Images in This Article
Copyright and Terms & Conditions

Additional terms of reuse