Image Details

Choose export citation format:

Interferometric Detection and Orbit Modeling of the Subcomponent in the Hot-dust System κ Tuc A: A Low-mass Star on an Eccentric Orbit in a Hierarchical-quintuple System

  • Authors: T. A. Stuber, A. Mérand, F. Kirchschlager, S. Wolf, G. Weible, O. Absil, T. D. Pearce, G. Garreau, J.-C. Augereau, W. C. Danchi, D. Defrère, V. Faramaz-Gorka, J. W. Isbell, J. Kobus, A. V. Krivov, R. Laugier, K. Ollmann, R. G. Petrov, P. Priolet, J. P. Scott, K. Tsishchankava, S. Ertel

T. A. Stuber et al 2026 The Astronomical Journal 171 .

  • Provider: AAS Journals

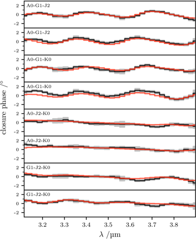
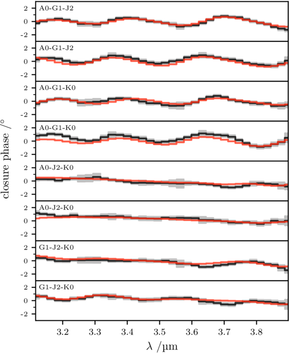
Caption: Figure 1.

MATISSE closure phases obtained on 2024 November 23 in BCD position OUT–OUT (black) with uncertainties in gray. The BCD cycle was executed twice, delivering two measurements for each telescope triplet, which is denoted in each panel by the combination of AT positions (e.g., A0-G1-J2 for the positions A0, G1, and J2). The two BCD cycles were recorded with a pause of 8 minutes in between, during which the chopping sequence was performed. Due to sky rotation during this period, the measurements deviate slightly from each other. A binary model was fitted to the data of all four BCD positions (of which three are not shown for clarity of illustration) with the best-fit model shown in red.

Other Images in This Article
Copyright and Terms & Conditions

Additional terms of reuse