Image Details

Choose export citation format:

Detection of Semidetached Eclipsing Binaries from TESS

  • Authors: Xu Ding, KaiFan Ji, QiYuan Cheng, ZhiMing Song, JinLiang Wang, XueFen Tian, ChuanJun Wang

Xu Ding et al 2025 The Astronomical Journal 169 .

  • Provider: AAS Journals

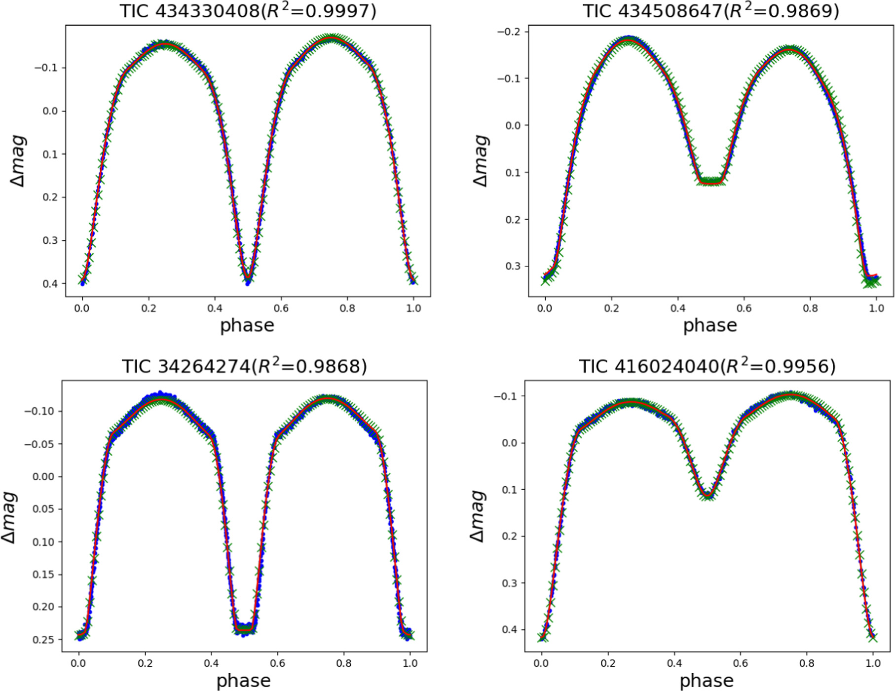
Caption: Figure 7.

The fitting results for four targets are depicted, with the blue dots indicating the original light curves. The red lines represent the light curves generated by the trained model (less massive filling), and the green “x” dots denote the light curves produced by PHOEBE.

Other Images in This Article
Copyright and Terms & Conditions

Additional terms of reuse