Image Details

Choose export citation format:

Detection of Semidetached Eclipsing Binaries from TESS

  • Authors: Xu Ding, KaiFan Ji, QiYuan Cheng, ZhiMing Song, JinLiang Wang, XueFen Tian, ChuanJun Wang

Xu Ding et al 2025 The Astronomical Journal 169 .

  • Provider: AAS Journals

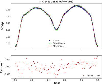
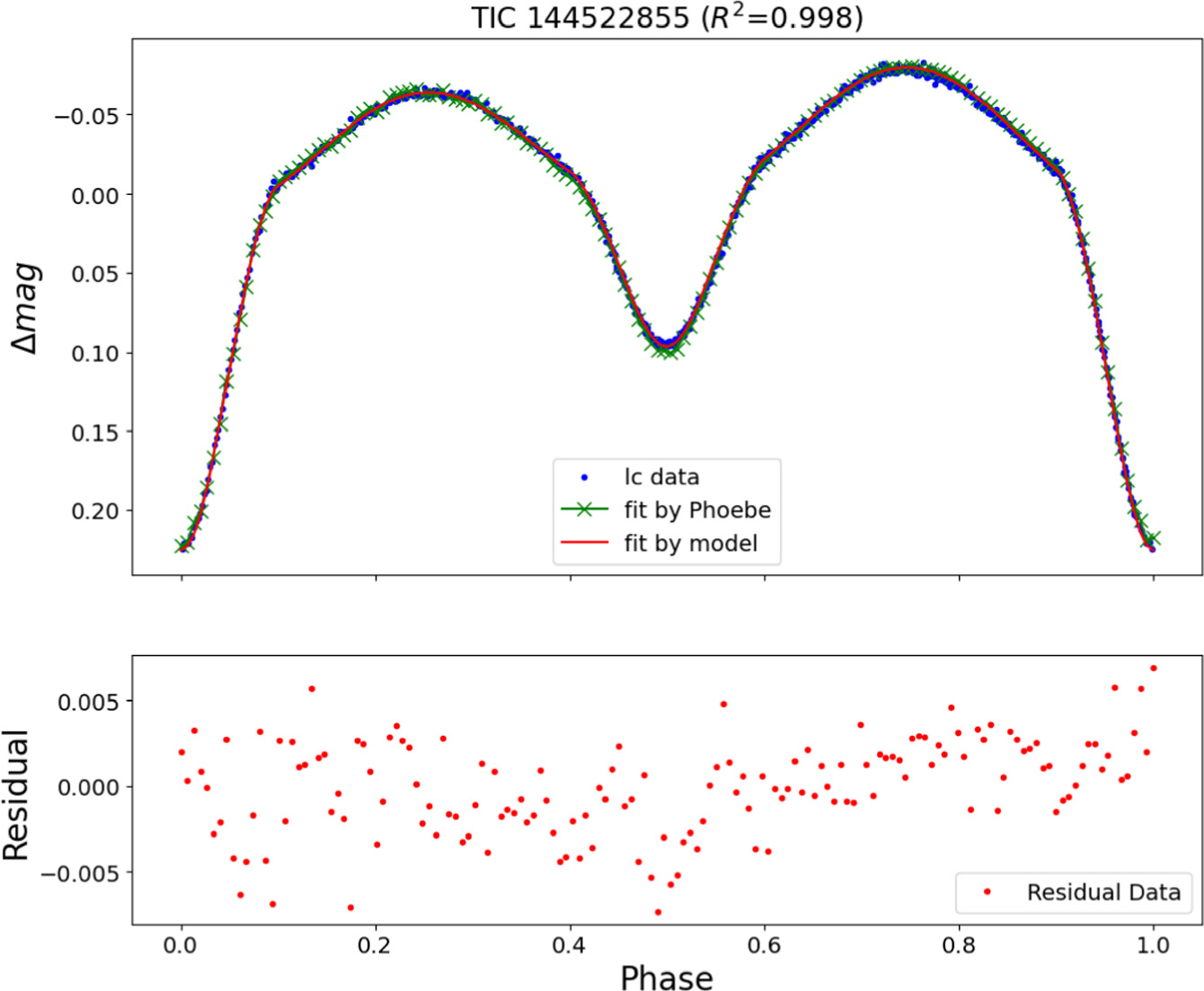
Caption: Figure 6.

Fitting results for TIC 144522855 are presented.

Other Images in This Article
Copyright and Terms & Conditions

Additional terms of reuse