Image Details

Choose export citation format:

Adding RR Lyrae y-Band Template Light Curves to gatspy

  • Authors: Chow-Choong Ngeow, Chia-Yu Cheng

Chow-Choong Ngeow and Chia-Yu Cheng 2025 The Astronomical Journal 169 .

  • Provider: AAS Journals

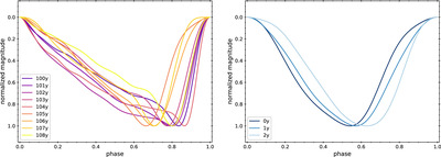
Caption: Figure 4.

The constructed y-band template light curves for RRab (left panel) and RRc (right panel) based on the procedures described in Section 4. These y-band template light curves were presented in a number of ASCII files with filenames convention following the ugriz-band template light curves given in B. Sesar et al. (2010).

Other Images in This Article
Copyright and Terms & Conditions

Additional terms of reuse