Image Details
 
                    Caption: Figure 2.
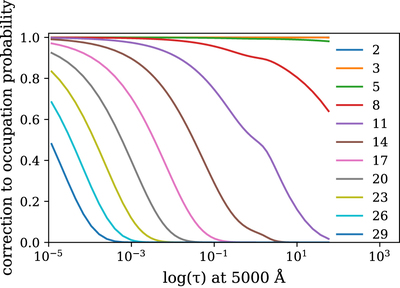
The Hummer & Mihalas (1988) occupation probability correction factor, w, for several values of the primary quantum number, n, in hydrogen, evaluated at each layer in the solar atmosphere (indexed by optical depth at 5000 Å). While the formalism affects transitions involving outer energy levels, those which do not, e.g., H α , are unaffected. The results are similar for the other atmospheres considered in Section 3.
© 2023. The Author(s). Published by the American Astronomical Society.