Image Details

Choose export citation format:

The Gold Standard: Accurate Stellar and Planetary Parameters for Eight Kepler M Dwarf Systems Enabled by Parallaxes

  • Authors: Andrew W. Mann, Trent Dupuy, Philip S. Muirhead, Marshall C. Johnson, Michael C. Liu, Megan Ansdell, Paul A. Dalba, Jonathan J. Swift, and Sam Hadden

2017 The Astronomical Journal 153 267.

  • Provider: AAS Journals

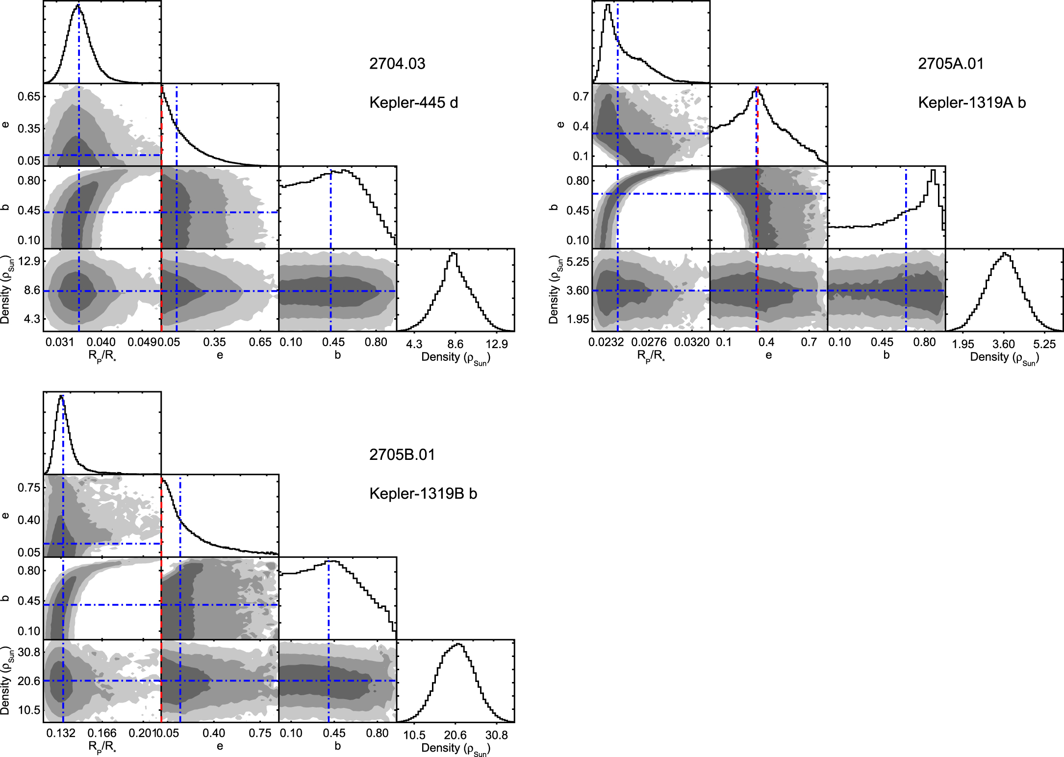
Caption: Figure 10.

Posteriors and correlations for ﹩{R}_{P}/{R}_{\star },b,e﹩ and ﹩{\rho }_{\star }﹩ for all systems. Gray regions surround 68%, 95%, and 99.7% of the data points (1, 2, and 3σ for Gaussian distributions) from darkest to lightest. Values of b tend to be symmetric around zero, so the absolute value is shown. The red dashed line indicates the statistical mode, and the dot-dashed blue line the median. Planet names are shown in the upper right corner. Axis ranges are selected to exclude the most extreme 0.1% of points to make the remaining points more clear, so some contours are cut on the edges. Note that e is not fit in the MCMC, but calculated from the ﹩\sqrt{e}\sin (\omega )﹩ and ﹩\sqrt{e}\cos (\omega )﹩ distributions.

Other Images in This Article

Show More

Copyright and Terms & Conditions