Image Details

Choose export citation format:

The Gold Standard: Accurate Stellar and Planetary Parameters for Eight Kepler M Dwarf Systems Enabled by Parallaxes

  • Authors: Andrew W. Mann, Trent Dupuy, Philip S. Muirhead, Marshall C. Johnson, Michael C. Liu, Megan Ansdell, Paul A. Dalba, Jonathan J. Swift, and Sam Hadden

2017 The Astronomical Journal 153 267.

  • Provider: AAS Journals

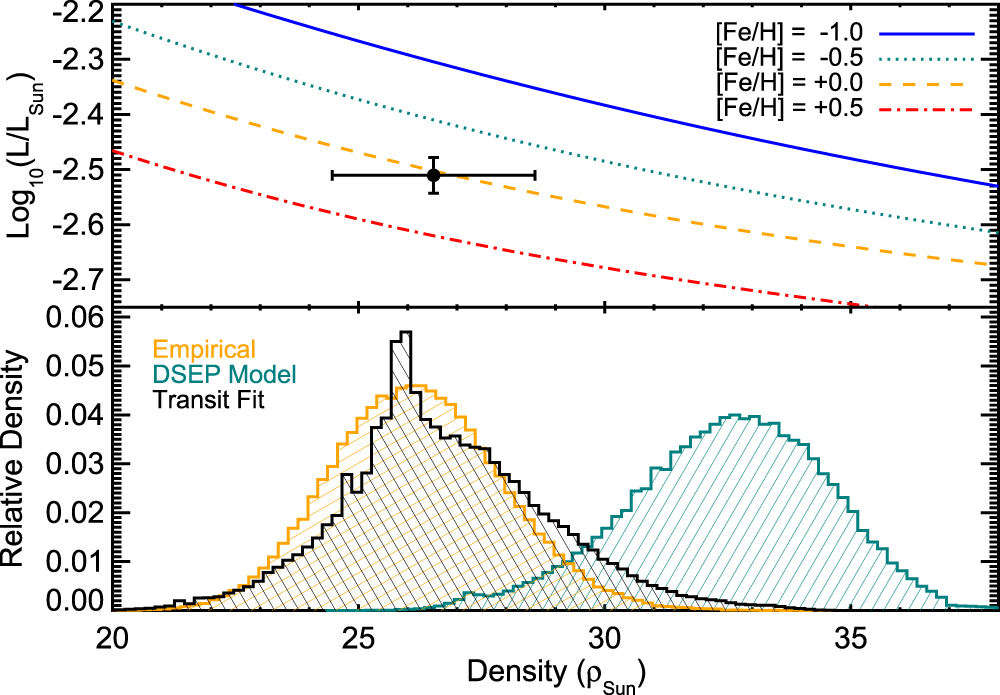
Caption: Figure 8.

Top: DSEP model tracks of ﹩{L}_{\star }﹩ vs. ﹩{\rho }_{\star }﹩ for different metallicities, with the parallax-based ﹩{L}_{\star }﹩, transit-based ﹩{\rho }_{\star }﹩, and corresponding errors for Kepler-42 shown as a black point. While the more empirical estimate matches the [Fe/H] = 0 isochrone, Kepler-42 is metal-poor ([Fe/H] = −0.5). Models are restricted to >3 Gyr and [α/Fe] = 0. Bottom: posteriors for ﹩{\rho }_{\star }﹩ from the transit-fit (black), empirical calibration from nearby stars (orange), and DSEP model (teal, matching [Fe/H] = −0.5 on top panel).

Other Images in This Article

Show More

Copyright and Terms & Conditions