Image Details

Choose export citation format:

On the Normalization of the Cosmic Star Formation History

  • Authors: Andrew M. Hopkins and John F. Beacom

Hopkins & Beacom 2006 The Astrophysical Journal 651 142.

  • Provider: AAS Journals

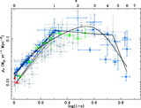
Caption: Fig. 6.

Evolution of metal mass density buildup inferred from the SFH, assuming (a) SalA IMF and (b) BG IMF. The gray shaded and hatched regions come from the 1 and 3 σ confidence regions around the SFH ﹩T=4﹩ MeV fits respectively. The triangles at ﹩z=0﹩ are from Calura & Matteucci (2004), and the open circles at ﹩z=0﹩ and ≈2.5 are from Dunne et al. (2003).

Other Images in This Article

Show More

Copyright and Terms & Conditions