Image Details

Choose export citation format:

On the Normalization of the Cosmic Star Formation History

  • Authors: Andrew M. Hopkins and John F. Beacom

Hopkins & Beacom 2006 The Astrophysical Journal 651 142.

  • Provider: AAS Journals

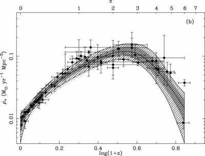
Caption: Fig. 2.

SFR density data used in defining the best‐fitting parametric forms and the resulting fits, assuming (a) SalA IMF and (b) BG IMF. The shape of the fits is determined from the SFH data alone, and a scaling factor is fit to ensure consistency with the SK ﹩\overline{\nu }_{e}﹩ limit (i.e., given the assumed temperature, this quantifies how much lower the SFH normalization has to be so as not to violate the SK limit). Solid lines assume a ﹩\overline{\nu }_{e}﹩ temperature of ﹩T=4﹩ or 6 MeV, and dotted lines, ﹩T=8﹩ MeV. The gray shaded and hatched regions are, respectively, the 1 and 3 σ confidence regions around the ﹩T=4﹩ MeV fits. The scaling factors are (a) 1.0, 1.0, and 0.67 and (b) 1.0, 1.0, and 0.74, respectively, for ﹩T=4﹩, 6, and 8 MeV.

Other Images in This Article

Show More

Copyright and Terms & Conditions