Image Details
 
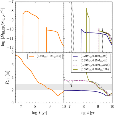
                    Caption: Figure 5.
Evolution of CV models under the effect of magnetic braking and gravitational wave radiation. For each track the label gives the donor mass, the WD mass, and the initial orbital period respectively. The gray band shows the observed period gap for CVs. These results reproduce Figure 1 in Howell et al. (2001).
© 2015. The American Astronomical Society. All rights reserved.