Image Details
 
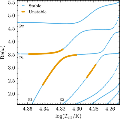
                    Caption: Figure 10.
The ﹩{\ell }﹩ = 1 dimensionless frequency spectrum of an 8.5 ﹩{{\rm{M}}}_{\odot }﹩ stellar model as it evolves from the ZAMS to the REMS. Blue (orange) dots indicate which modes are stable (unstable); selected modes are labeled along the left/bottom edge using their classification.
© 2015. The American Astronomical Society. All rights reserved.