Image Details
 
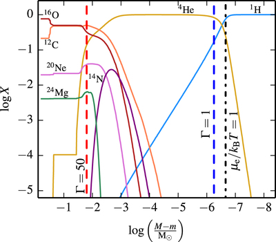
                    Caption: Figure 43.
Abundance profile of a CO WD (M = 0.611 ﹩{{\rm{M}}}_{\odot }﹩, ﹩{T}_{\mathrm{eff}}﹩ = 5.16 × ﹩{10}^{3}\;{\rm{K}}﹩, ﹩L=9.29\;\times \;{10}^{-5}\;{{\rm{L}}}_{\odot }﹩) after 4 Gyr of WD evolution. The region left of the blue, dashed line is the interior of the WD, where ﹩{\rm{\Gamma }}\geqslant 1﹩. Left of the red, dashed line ﹩{\rm{\Gamma }}\geqslant 50﹩, and diffusion has been turned off for this region. The electrons are an ideal gas to the right of the black dotted–dashed line.
© 2015. The American Astronomical Society. All rights reserved.