Image Details
 
                    Caption: Figure 42.
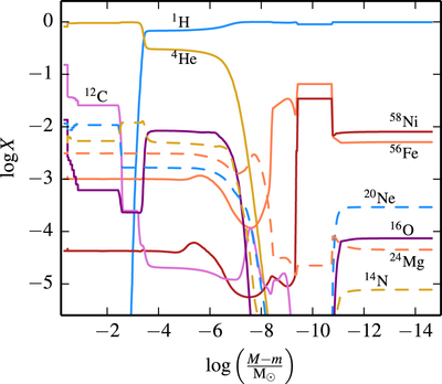
Abundance profile of a subdwarf B star model (﹩M=0.462\;{{\rm{M}}}_{\odot }﹩, ﹩{T}_{\mathrm{eff}}=2.67\;\times \;{10}^{4}\;{\rm{K}}﹩, ﹩L=1.12\;{{\rm{L}}}_{\odot }﹩, ﹩\mathrm{age}=5\;\mathrm{Myr}﹩) showing the effects of radiative levitation with a layer of ﹩{}^{56}\mathrm{Fe}{/}^{58}\mathrm{Ni}﹩ at the surface.
© 2015. The American Astronomical Society. All rights reserved.