Image Details
 
                    Caption: Figure 34.
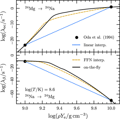
Top panel (bottom panel) shows the rate of electron capture on ﹩{}^{24}\mathrm{Mg}﹩ (beta decay of ﹩{}^{24}\mathrm{Na}﹩) as a function of density at a fixed temperature of ﹩\mathrm{log}(T/{\rm{K}})=8.6﹩. The Oda et al. (1994) tabulated points are shown as black dots. The dotted line shows the result of using linear interpolation between the tabulated points. The dashed line shows the result of using the physically motivated interpolation method suggested by Fuller et al. (1985). The solid line shows the rate calculated using the on-the-fly rate calculation capability of MESA documented in this section. Slight differences between points and the line are due to differences in the input nuclear data.
© 2015. The American Astronomical Society. All rights reserved.