Image Details
 
                    Caption: Figure 31.
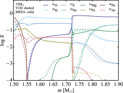
Composition profiles of the eight most abundant isotopes at 1 s in the inner 0.4 ﹩{{\rm{M}}}_{\odot }﹩ of the ejecta for MESA (solid) and V1D (dashed) simulations of a 1051 erg explosion in the 15 ﹩{{\rm{M}}}_{\odot }﹩ model. The Si-rich and O-rich shells have been influenced by explosive nucleosynthesis, the former primarily for the production of ﹩{}^{56}\mathrm{Ni}﹩ and the latter primarily for the production of ﹩{}^{28}\mathrm{Si}﹩ and ﹩{}^{32}{\rm{S}}﹩.
© 2015. The American Astronomical Society. All rights reserved.