Image Details
 
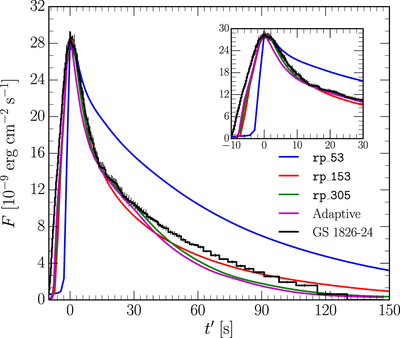
                    Caption: Figure 22.
Folded burst profiles for the different nuclear networks as compared to GS 1826-24 for an accretion rate of ﹩3\;\times \;{10}^{-9}\;{{\rm{M}}}_{\odot }\;{\mathrm{yr}}^{-1}﹩ with 2% metals with a solar composition, Three rp network models are shown and one of the adaptive net models. The insert shows a zoom in of the first ﹩30\;{\rm{s}}﹩ during the burst.
© 2015. The American Astronomical Society. All rights reserved.