Image Details
 
                    Caption: Figure 18.
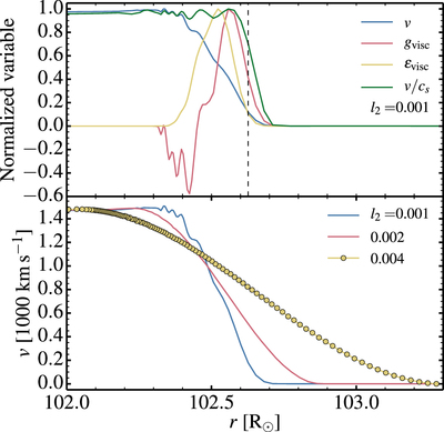
Top: normalized values of velocity, artificial acceleration ﹩{g}_{\mathrm{visc}}﹩, artificial viscous heating ﹩{\epsilon }_{\mathrm{visc}}﹩, and Mach number in the vicinity of the shock. The dashed vertical line marks where the Mach number is unity. Bottom: dependency of the shock morphology on changes in the viscosity parameter l2. The dots shown for the model with ﹩{l}_{2}\;=﹩ 0.004 denote the location of the MESA grid points at that time. For all these tests, we deposit an energy of 1050 erg at a constant power over 1 s.
© 2015. The American Astronomical Society. All rights reserved.