Image Details
 
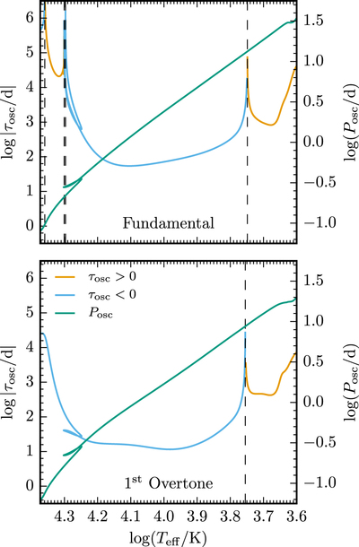
                    Caption: Figure 13.
Growth timescale ﹩{\tau }_{\mathrm{osc}}﹩ (left axis) and oscillation period ﹩{P}_{\mathrm{osc}}﹩ (right axis) of the fundamental and first-overtone radial modes of a 8.5 ﹩{{\rm{M}}}_{\odot }﹩ model, plotted as a function of ﹩{T}_{\mathrm{eff}}﹩ as the star evolves away from the ZAMS. The vertical dashed lines, determined automatically, show the points where the modes switch from stable (﹩{\tau }_{\mathrm{osc}}\lt 0﹩) to unstable (﹩{\tau }_{\mathrm{osc}}\gt 0﹩), and vice versa.
© 2015. The American Astronomical Society. All rights reserved.