Image Details

Choose export citation format:

A Method for Localizing Energy Dissipation in Blazars Using Fermi Variability

  • Authors: Amanda Dotson, Markos Georganopoulos, Demosthenes Kazanas, and Eric S. Perlman

Dotson et al. 2012 The Astrophysical Journal Letters 758 L15.

  • Provider: AAS Journals

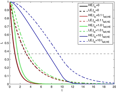
Caption: Figure 4.

Exponentially decaying light curves of a flare in the MT. High- and low-energy luminosities ( epsilon HE/ epsilon LE = 10) are plotted (normalized to 1) for increasing t lc. Solid lines represent epsilon HE and dashed lines epsilon LE. Colors represent t lc at differing factors of t f , where t f, HE is normalized to 1. The dashed black line is the 1/ e decay time.

Other Images in This Article
Copyright and Terms & Conditions