Image Details

Choose export citation format:

A Method for Localizing Energy Dissipation in Blazars Using Fermi Variability

  • Authors: Amanda Dotson, Markos Georganopoulos, Demosthenes Kazanas, and Eric S. Perlman

Dotson et al. 2012 The Astrophysical Journal Letters 758 L15.

  • Provider: AAS Journals

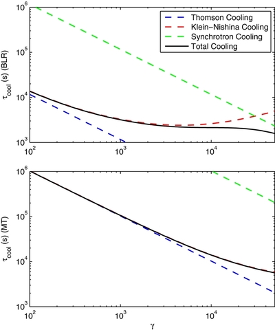
Caption: Figure 1.

Electron cooling time in the galaxy frame as a function of γ. Top panel: blazar emission site located in the BLR. Bottom panel: blazar located in the MT. Broken lines represent the various cooling mechanisms and the solid black line is the total cooling time. Plots were calculated for seed photon energies epsilon 0, BLR = 3 × 10 −5 and epsilon 0, MT = 5 × 10 −7, seed photon energy densities U BLR = 10 −2 erg cm −3, U MT = 10 −4 erg cm −3, and magnetic field energy U B = 100  U EC.

Other Images in This Article
Copyright and Terms & Conditions