Image Details

Choose export citation format:

A Method for Localizing Energy Dissipation in Blazars Using Fermi Variability

  • Authors: Amanda Dotson, Markos Georganopoulos, Demosthenes Kazanas, and Eric S. Perlman

Dotson et al. 2012 The Astrophysical Journal Letters 758 L15.

  • Provider: AAS Journals

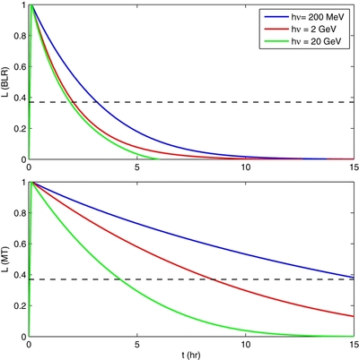
Caption: Figure 3.

Light curves at 200 MeV, 2 GeV, and 20 GeV for BLR seed photons (upper panel) and MT seed photons (lower panel), normalized for a steady state L = 0 and maximum L = 1 (in arbitrary units). Times are in the galaxy frame. The dashed black line is the 1/ e decay time. Times are in the galaxy frame.

Other Images in This Article
Copyright and Terms & Conditions