Image Details
 
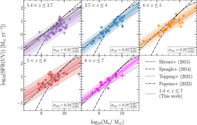
                    Caption: Figure 4.
UV-based SFRs vs. stellar masses for the combined JADES and CEERS sample binned by redshift. The darker and lighter shaded regions denote the 1σ int and 2σ int intrinsic scatter intervals about the SFMS, respectively. The thick gray line shows the best-fit SFMS for the whole sample in the range 1.4 < z ≤ 7. The lower normalization of our sample compared to the literature is largely due to the fact that we assume an SMC dust law, whereas most literature studies have assumed a Calzetti dust law.
© 2024. The Author(s). Published by the American Astronomical Society.