Image Details

Choose export citation format:

Magnetic Field Evolution for Crystallization-driven Dynamos in C/O White Dwarfs

  • Authors: Matias Castro-Tapia, Shu Zhang, Andrew Cumming

Matias Castro-Tapia et al 2024 The Astrophysical Journal 975 .

  • Provider: AAS Journals

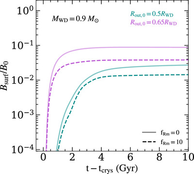
Caption: Figure 4.

Evolution over time of the surface magnetic field strength (B surf) for a 0.9 M WD for different assumptions of the turbulent diffusivity factor f Rm and the initial convection zone R out,0. After a couple of Gyr B surf saturates to an almost constant value which is determined by the initial conditions f Rm and R out,0.

Other Images in This Article
Copyright and Terms & Conditions

Additional terms of reuse