Image Details

Choose export citation format:

A Bright First Day for Tidal Disruption Events

  • Authors: Xiaoshan Huang, 小珊 黄, Shane W. Davis, Yan-fei Jiang, 燕飞 姜

Xiaoshan Huang et al 2023 The Astrophysical Journal 953 .

  • Provider: AAS Journals

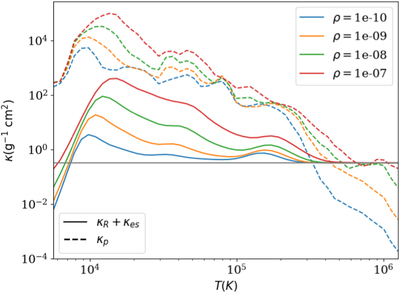
Caption: Figure 1.

Examples of adopted OPAL opacity, including the Planck mean opacity (dashed lines) and combined electron scattering and Rosseland mean opacity (solid lines), corresponding to densities of ρ = 10−10, 10−9, 10−8, and 10−7 g cm−3 (blue, orange, green, and red lines).

Other Images in This Article

Show More

Copyright and Terms & Conditions

Additional terms of reuse