Image Details
 
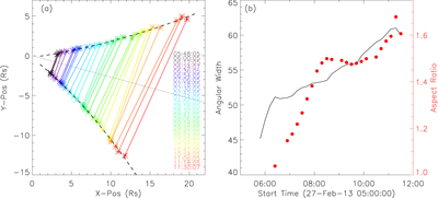
                    Caption: Figure 3.
(a) Variation of the lateral width of the CME at different times in the X–Y plane. The black solid line indicates the position angle of 255°, and the two curves show the quadratic fit to the X–Y data points. (b) Variation of the angular width of the CME (black) and the aspect ratio (red).
© 2022. The Author(s). Published by the American Astronomical Society.