Image Details

Choose export citation format:

ALMA Lensing Cluster Survey: An ALMA Galaxy Signposting a MUSE Galaxy Group at z = 4.3 Behind “El Gordo”

  • Authors: K. I. Caputi, G. B. Caminha, S. Fujimoto, K. Kohno, F. Sun, E. Egami, S. Deshmukh, F. Tang, Y. Ao, L. Bradley, D. Coe, D. Espada, C. Grillo, B. Hatsukade, K. K. Knudsen, M. M. Lee, G. E. Magdis, K. Morokuma-Matsui, P. Oesch, M. Ouchi, P. Rosati, H. Umehata, F. Valentino, E. Vanzella, W.-H. Wang, J. F. Wu, and A. Zitrin

2021 The Astrophysical Journal 908 146.

  • Provider: AAS Journals

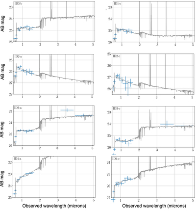
Caption: Figure 5.

Best-fit SEDs for the four MUSE sources in the galaxy group at z = 4.32, in all the lensing components in which we have performed the SED fitting (those with photometry that is not significantly contaminated by the foreground cluster).

Other Images in This Article
Copyright and Terms & Conditions