Image Details

Choose export citation format:

Minkowski Tensors in Two Dimensions: Probing the Morphology and Isotropy of the Matter and Galaxy Density Fields

  • Authors: Stephen Appleby, Pravabati Chingangbam, Changbom Park, Sungwook E. Hong, Juhan Kim, and Vidhya Ganesan

2018 The Astrophysical Journal 858 87.

  • Provider: AAS Journals

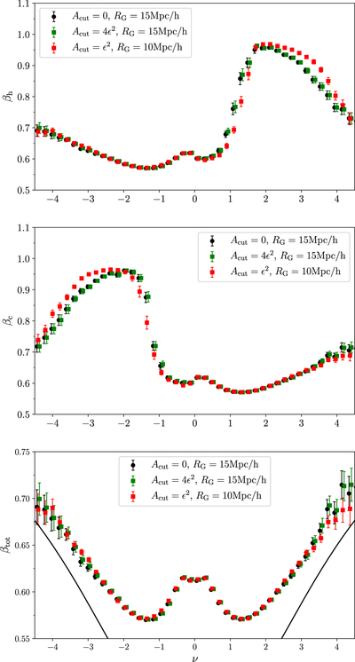
Caption: Figure 8.

Statistic β for holes and connected regions (top and middle panels) and the combined mean of both holes and connected excursion regions (bottom panel). The black circles and green squares indicate the mean value of this statistic after we have made different cuts to our sample of connected regions and holes (according to the size of the region) for a fixed smoothing scale ﹩{R}_{{\rm{G}}}=15\,{h}^{-1}\,\mathrm{Mpc}﹩. We note that the statistic is insensitive to these cuts. The red squares are the same statistic with a smaller smoothing scale ﹩{R}_{{\rm{G}}}=10\,{h}^{-1}\,\mathrm{Mpc}﹩ applied. In this case, the percolation of the field occurs at a slightly different value of ν, but the statistics behave similarly otherwise. We also exhibit the theoretical prediction (Equation (18)) obtained using peak statistics as a solid black curve in the bottom panel. The theoretical curve approaches our numerical result for high threshold values.

Other Images in This Article

Show More

Copyright and Terms & Conditions