Image Details

Choose export citation format:

Minkowski Tensors in Two Dimensions: Probing the Morphology and Isotropy of the Matter and Galaxy Density Fields

  • Authors: Stephen Appleby, Pravabati Chingangbam, Changbom Park, Sungwook E. Hong, Juhan Kim, and Vidhya Ganesan

2018 The Astrophysical Journal 858 87.

  • Provider: AAS Journals

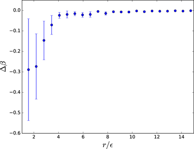
Caption: Figure 15.

Fractional departure of the statistic β from its theoretical expectation value β = 1 for a single circular density region as a function of the ratio of the radius of the circle to the resolution of our two-dimensional grid. For circular regions that are not well resolved, r < 3ϵ, we find errors >10% in our numerical reconstruction of the statistics.

Other Images in This Article

Show More

Copyright and Terms & Conditions