Image Details

Choose export citation format:

Minkowski Tensors in Two Dimensions: Probing the Morphology and Isotropy of the Matter and Galaxy Density Fields

  • Authors: Stephen Appleby, Pravabati Chingangbam, Changbom Park, Sungwook E. Hong, Juhan Kim, and Vidhya Ganesan

2018 The Astrophysical Journal 858 87.

  • Provider: AAS Journals

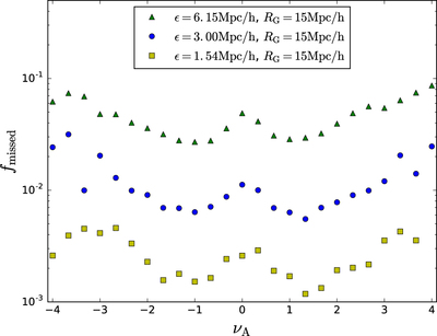
Caption: Figure 13.

Fraction of missed connected regions and holes ﹩{f}_{\mathrm{missed}}﹩ as a function of ﹩{\nu }_{{\rm{A}}}﹩ for three different box resolutions, ϵ = 1.54, 3.00, and 6.15 h−1 Mpc (yellow squares, blue circles, and green triangles). This statistic informs us of spurious numerical errors in our reconstruction of the genus due to the marching-squares algorithm. The number of missing structures is negligible for our choice of residual resolution ϵ = 1.54 h−1 Mpc but increases sharply with increasing ϵ.

Other Images in This Article

Show More

Copyright and Terms & Conditions