Image Details

Choose export citation format:

The Parametric Decay Instability of Alfvén Waves in Turbulent Plasmas and the Applications in the Solar Wind

  • Authors: Mijie Shi, Hui Li, Chijie Xiao, and Xiaogang Wang

2017 The Astrophysical Journal 842 63.

  • Provider: AAS Journals

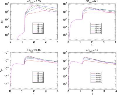
Caption: Figure 6.

Evolution of PDI modes under different background turbulence levels (﹩\delta {B}_{\mathrm{turb}}﹩) and different amplitudes of injected Alfvén waves (﹩\delta B﹩). A circularly polarized Alfvén wave is injected at t = 1.2.

Other Images in This Article
Copyright and Terms & Conditions