Image Details

Choose export citation format:

The Parametric Decay Instability of Alfvén Waves in Turbulent Plasmas and the Applications in the Solar Wind

  • Authors: Mijie Shi, Hui Li, Chijie Xiao, and Xiaogang Wang

2017 The Astrophysical Journal 842 63.

  • Provider: AAS Journals

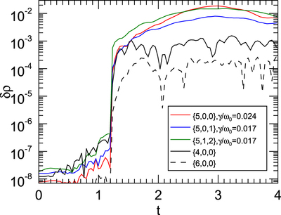
Caption: Figure 4.

Evolution of rms density fluctuation of three PDI modes ﹩\{{k}_{x},{k}_{y},{k}_{z}\}\,=\,\{5,0,0\},\{5,0,1\}﹩, and ﹩\{5,1,2\}﹩ as well as two other modes ﹩\{{k}_{x},{k}_{y},{k}_{z}\}\,=\,\{4,0,0\},\{6,0,0\}﹩. The growth rates of PDI modes are labeled in the legends. A circularly polarized Alfvén wave with ﹩\delta B=0.2﹩ is injected at t = 1.2.

Other Images in This Article
Copyright and Terms & Conditions