Image Details

Choose export citation format:

The Parametric Decay Instability of Alfvén Waves in Turbulent Plasmas and the Applications in the Solar Wind

  • Authors: Mijie Shi, Hui Li, Chijie Xiao, and Xiaogang Wang

2017 The Astrophysical Journal 842 63.

  • Provider: AAS Journals

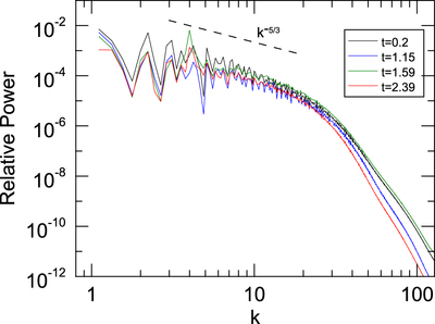
Caption: Figure 1.

Power spectrum of Bz component at different times of one turbulence simulation (﹩\delta {B}_{\mathrm{turb}}=\delta {v}_{\mathrm{turb}}=0.15﹩). The spectrum is normalized by the grids size. At t = 1.2, an Alfvén wave with ﹩\delta B=0.2﹩ is injected into the simulation domain.

Other Images in This Article
Copyright and Terms & Conditions