Image Details

Choose export citation format:

EARLY STRUCTURE FORMATION FROM PRIMORDIAL DENSITY FLUCTUATIONS WITH A BLUE, TILTED POWER SPECTRUM

  • Authors: Shingo Hirano, Nick Zhu, Naoki Yoshida, David Spergel, and Harold W. Yorke

2015 The Astrophysical Journal 814 18.

  • Provider: AAS Journals

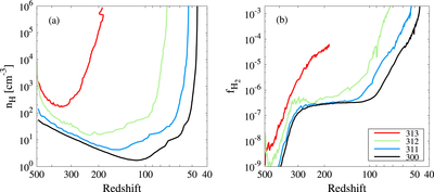
Caption: Figure 4.

Time evolution of gas density (Panel (a)) and H2 molecule fraction (Panel (b)) of the densest gas elements for cases with σ8 = 2.5 until ﹩{n}_{{\rm{H,cen}}}﹩ = 106 ﹩{\mathrm{cm}}^{-3}﹩. The lines with different colors represent the four PPS models in Table 1.

Other Images in This Article
Copyright and Terms & Conditions