Image Details

Choose export citation format:

Constraining Dark Matter Halo Profiles and Galaxy Formation Models Using Spiral Arm Morphology. II. Dark and Stellar Mass Concentrations for 13 Nearby Face-on Galaxies

  • Authors: Marc S. Seigar, Benjamin L. Davis, Joel Berrier, and Daniel Kennefick

Seigar et al. 2014 The Astrophysical Journal 795 90.

  • Provider: AAS Journals

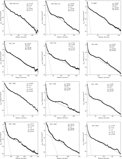
Caption: Figure 2.

Surface brightness profiles for 13 galaxies. The short-dashed line is the Sérsic fit to the bulge, the long-dashed line is the exponential disk fit, and the solid line is the total bulge+disk fit.

Other Images in This Article

Show More

Copyright and Terms & Conditions