Image Details

Choose export citation format:

Simulations of Ion Acceleration at Non-relativistic Shocks. II. Magnetic Field Amplification

  • Authors: D. Caprioli and A. Spitkovsky

Caprioli & Spitkovsky 2014 The Astrophysical Journal 794 46.

  • Provider: AAS Journals

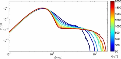
Caption: Figure 2.

Time evolution of the downstream ion momentum spectrum for M = 20 parallel shock (Run B; see Table 1), showing both the thermal component (p ≲ 2 mvsh), and accelerated particles. The non-thermal power-law tail ∝p−4 agrees with DSA prediction at strong shocks (see Paper I). The maximum momentum increases until , when the diffusion length of the most energetic ions becomes comparable with the box size.

Other Images in This Article
Copyright and Terms & Conditions