Image Details

Choose export citation format:

Iphas A-Type Stars with Mid-Infrared Excesses in Spitzer Surveys

  • Authors: Antonio S. Hales, Michael J. Barlow, Janet E. Drew, Yvonne C. Unruh, Robert Greimel, Michael J. Irwin, and Eduardo González-Solares

HALES et al. 2009 The Astrophysical Journal 695 75.

  • Provider: AAS Journals

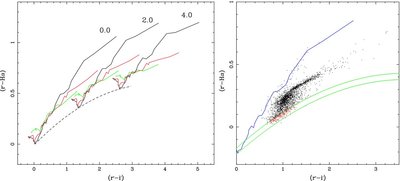
Caption: Figure 1.

Left-hand panel: synthetic ( r′ −  H α) vs. ( r′ − i′) colors of normal stars under the effect of interstellar extinction (adapted from Drew et al. 2005). For a given visual color excess E( BV), the black lines represent the MS, the red lines represent the giant sequence and the green lines show the positions of the supergiants. The dashed line shows the reddening track for the normal metallicity A0V star from the Pickles (1998) library: it is a representative early-A reddening line. Right-hand panel: the ( r′ −  H α) vs. ( r′ − i′) color plane for IPHAS field 4232. An early-A star strip, of width 0.05 mags in ( r′-H α) (green lines) was used to select for A-type dwarfs (red dots). The blue line corresponds to an unreddened MS track.

Other Images in This Article
Copyright and Terms & Conditions