Image Details

Choose export citation format:

K‐Corrections and Filter Transformations in the Ultraviolet, Optical, and Near‐Infrared

  • Authors: Michael R. Blanton and Sam Roweis

Blanton & Roweis 2007 The Astronomical Journal 133 734.

  • Provider: AAS Journals

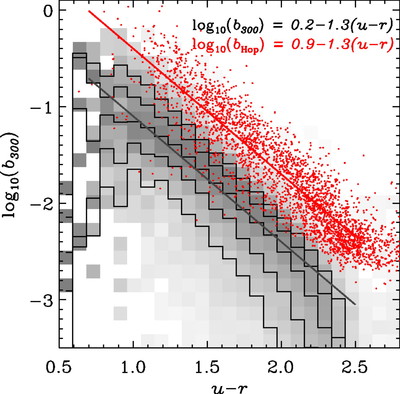
Caption: Fig. 19.

Fraction of the total star formation that has occurred in the previous 300 Myr, ﹩b_{300}﹩, as a function of rest‐frame ﹩u-r﹩ color, for SDSS galaxies. The gray scale is the conditional distribution of ﹩b_{300}﹩ on ﹩u-r﹩. The lines are the 10%, 25%, 50%, 75%, and 90% quantiles. For comparison we show the results of using the scaling of Hopkins et al. (2003).

Other Images in This Article

Show More

Copyright and Terms & Conditions