Image Details

Choose export citation format:

The Fundamental Scaling Relations of Elliptical Galaxies

  • Authors: Brant Robertson, Thomas J. Cox, Lars Hernquist, Marijn Franx, Philip F. Hopkins, Paul Martini, and Volker Springel

Robertson et al. 2006 The Astrophysical Journal 641 21.

  • Provider: AAS Journals

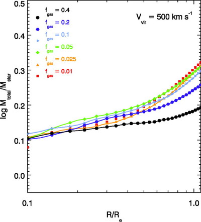
Caption: Fig. 15.

Ratio of Mtotal to Msstarf with spherical radius for the remnants of equal‐mass mergers of ﹩V_{\mathrm{vir}\,}=500﹩ km s−1 disk galaxies with dark matter halos, star formation and supernova feedback as a function of progenitor gas content. The galaxy models are appropriate for ﹩z=0﹩ and are merged on nearly radial, parabolic orbits. Shown is Mtotal/Msstarf vs. R/Re for remnants produced by progenitor systems with gas fraction ﹩f_{\mathrm{gas}\,}=0.01﹩ (red line), ﹩f_{\mathrm{gas}\,}=0.025﹩ (yellow line), ﹩f_{\mathrm{gas}\,}=0.04﹩ (green line), ﹩f_{\mathrm{gas}\,}=0.1﹩ (blue line), ﹩f_{\mathrm{gas}\,}=0.2﹩ (purple line), and ﹩f_{\mathrm{gas}\,}=0.4﹩ (black line). For large‐mass spheroidal remnants, as the progenitor gas content is increased the central stellar content begins to increase substantially after ﹩R\gtrsim 0.3R_{e}﹩. The Mtotal/Msstarf value near the center is larger for massive systems than for less‐massive spheroids (see Fig. 14), reflecting the increasing importance of dark matter at the center of massive spheroidal galaxies.

Other Images in This Article

Show More

Copyright and Terms & Conditions