Image Details

Choose export citation format:

The Fundamental Scaling Relations of Elliptical Galaxies

  • Authors: Brant Robertson, Thomas J. Cox, Lars Hernquist, Marijn Franx, Philip F. Hopkins, Paul Martini, and Volker Springel

Robertson et al. 2006 The Astrophysical Journal 641 21.

  • Provider: AAS Journals

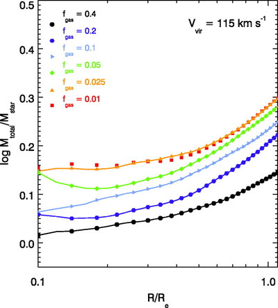
Caption: Fig. 14.

Ratio of total mass Mtotal to stellar mass Msstarf within a spherical radius for the remnants of equal‐mass mergers of ﹩V_{\mathrm{vir}\,}=115﹩ km s−1 disk galaxies with dark matter halos, star formation and supernova feedback as a function of progenitor gas content. The galaxy models are appropriate for ﹩z=0﹩ and are merged on nearly radial, parabolic orbits. Shown is Mtotal/Msstarf vs. R/Re for remnants produced by progenitor systems with gas fraction ﹩f_{\mathrm{gas}\,}=0.01﹩ (red line), ﹩f_{\mathrm{gas}\,}=0.025﹩ (yellow line), ﹩f_{\mathrm{gas}\,}=0.04﹩ (green line), ﹩f_{\mathrm{gas}\,}=0.1﹩ (blue line), ﹩f_{\mathrm{gas}\,}=0.2﹩ (purple line), and ﹩f_{\mathrm{gas}\,}=0.4﹩ (black line). For small‐mass spheroidal remnants, as the progenitor gas content is increased the stellar content substantially increases in the very central regions (﹩R< 0.3R_{e}﹩) of the galaxy. The decrease in Mtotal/Msstarf follows the corresponding decrease in Re as star formation is concentrated in the high central gas overdensities induced by the merger.

Other Images in This Article

Show More

Copyright and Terms & Conditions