Image Details

Choose export citation format:

The Fundamental Scaling Relations of Elliptical Galaxies

  • Authors: Brant Robertson, Thomas J. Cox, Lars Hernquist, Marijn Franx, Philip F. Hopkins, Paul Martini, and Volker Springel

Robertson et al. 2006 The Astrophysical Journal 641 21.

  • Provider: AAS Journals

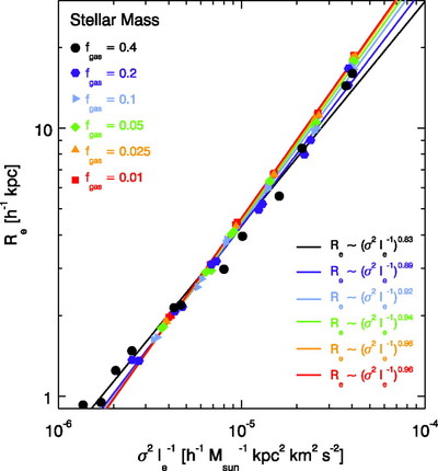
Caption: Fig. 10.

FP relation produced by the merging of disk galaxies with dark matter halos, star formation and supernova feedback as a function of progenitor gas content. The galaxy models are appropriate for ﹩z=0﹩ and are merged on nearly radial, parabolic orbits. Shown are remnants produced by progenitor systems with gas fraction ﹩f_{\mathrm{gas}\,}=0.01﹩ (red squares and line), ﹩f_{\mathrm{gas}\,}=0.025﹩ (yellow triangles and line), ﹩f_{\mathrm{gas}\,}=0.04﹩ (green diamonds and line), ﹩f_{\mathrm{gas}\,}=0.1﹩ (blue triangles and line), ﹩f_{\mathrm{gas}\,}=0.2﹩ (purple hexagons and line), and ﹩f_{\mathrm{gas}\,}=0.4﹩ (black circles and line). As the gas fraction of the progenitor systems increases past ﹩f_{\mathrm{gas}\,}=20\% ﹩, the dissipational effects of gas cooling and star formation induce a substantial tilt in the resulting FP relation. Nearly dissipationless progenitor (﹩f_{\mathrm{gas}\,}< 20\% ﹩) produce FP relations roughly parallel to the plane delineated by the virial relation, while for systems where gas dissipation is important the resultant FP is similar to the observed infrared FP (Pahre et al. 1998b). The increasing tilt is generated through a decrease in the remnant effective radius with increasing gas content and the corresponding change in the central stellar mass fraction (see also Figs. 1115).

Other Images in This Article

Show More

Copyright and Terms & Conditions