Image Details
 
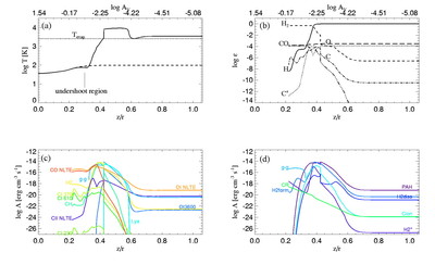
                    Caption: Fig. 5.
Slice through the disk model at 20 AU. (a) Gas temperature (solid line), dust temperature (dashed line), and evaporation temperature of an H‐atom. (b) Abundances  of important chemical species, H2 (dashed line), H (solid line), C﹩^{+}﹩ (dotted line), C (dash‐dotted line), CO (triple‐dot–dashed line), and O (long‐dashed line). The upper scale in these two panels illustrates the vertical visual extinction into the disk at selective points. Panels (c) and (d) denote the individual cooling and heating processes as a function of disk height ﹩z/ r﹩.
 of important chemical species, H2 (dashed line), H (solid line), C﹩^{+}﹩ (dotted line), C (dash‐dotted line), CO (triple‐dot–dashed line), and O (long‐dashed line). The upper scale in these two panels illustrates the vertical visual extinction into the disk at selective points. Panels (c) and (d) denote the individual cooling and heating processes as a function of disk height ﹩z/ r﹩. 
© 2004. The American Astronomical Society. All rights reserved. Printed in U.S.A.