Image Details

Choose export citation format:

Thin H2-dominated Atmospheres as Signposts of Magmatic Outgassing on Tidally Heated Terrestrial Exoplanets

  • Authors: Rahul Arora, Sukrit Ranjan, Pranabendu Moitra, Ananya Mallik

Rahul Arora et al 2026 The Planetary Science Journal 7 .

  • Provider: AAS Journals

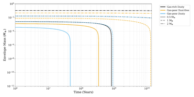
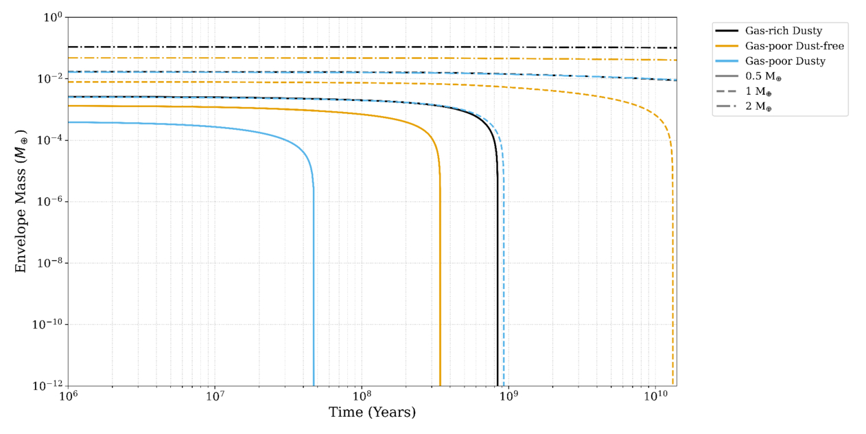
Caption: Figure 9.

Time evolution of atmospheric mass for hypothetical rocky planets with core masses of 0.5 M, 1 M, and 2 M (solid, dashed, and dashed–dotted lines, respectively), orbiting at 0.1 au and radius calculated using mass–radius relation of Earth-like rocky planets (L. Zeng et al. 2019). Curves represent the evolution of atmospheric mass under energy-limited atmospheric escape under evolving stellar XUV flux. Initial atmosphere masses are derived from different disk scenarios: gas-rich dusty (black), gas-poor dusty (blue), and gas-poor dust-free (orange).

Other Images in This Article

Show More

Copyright and Terms & Conditions

Additional terms of reuse