Image Details

Choose export citation format:

A Catalogue of Interstellar Material Delivery from Nearby Debris Disks

  • Authors: Cole R. Gregg, Paul A. Wiegert

Cole R. Gregg and Paul A. Wiegert 2025 The Planetary Science Journal 6 .

  • Provider: AAS Journals

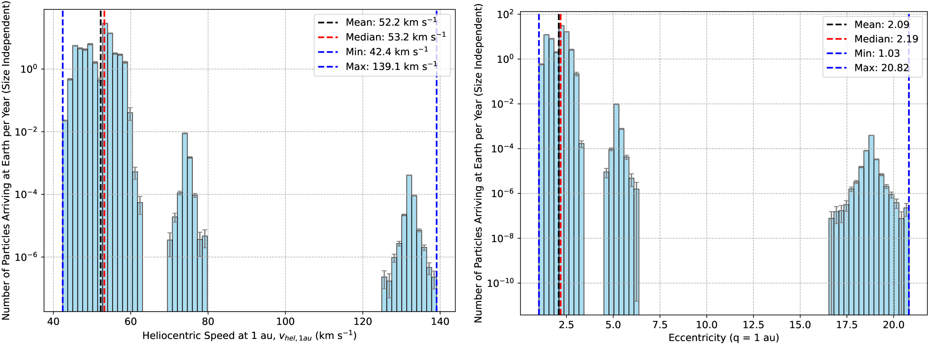
Caption: Figure 5. Heliocentric Velocity and Eccentricity Plots for All Systems

The complete figure set (21 images) is available in the online journal.

Other Images in This Article
Copyright and Terms & Conditions

Additional terms of reuse